研究室用メモ
関連記事: 結合阻害定数Kiの計算式について
トリチウム 3H の半減期は12.32 years。1年を分で表わすと525,600分(365日で計算)。秒で表わすと31,556,736秒(365.24日で計算)。12.32年は388,778,987秒。
時間 t = 0の時の原子数をN0とすると1秒後の原子数Nは
\[ N = N_0 \left(\frac{1}{2}\right)^\frac{1}{388778987} \] 1秒間に崩壊した原子数N’ (Bq) は \[ N’ = N_0 \times \left(1 – \left(\frac{1}{2}\right)^\frac{1}{388778987}\right) \] N0にアボガドロ定数6.02214 × 1023 mol−1を代入する。 \[ N’ = 6.02214 \times 10^{23} \times \left(1 – \left(\frac{1}{2}\right)^\frac{1}{388778987}\right) \simeq 1.07367685 \times 10^{15} \mathrm{Bq\,\, mol}^{-1} \] 1 Ci = 3.7 × 1010 Bqなので、 \[ 1.07367685 \times 10^{15}\,\,\mathrm{Bq\,\, mol}^{-1} \simeq 2901.829 \,\,\mathrm{Ci\,\, mol}^{-1} \simeq 29.02 \,\,\mathrm{Ci\,\, mmol}^{-1} \]
3Hが崩壊した後、標識化合物は活性が全くなくなると仮定する。
購入した [3H]PDBu の比活性が 17.16 Ci mmol-1だったので、この試料は標識された化合物が59.13%、非標識化合物が40.87%含まれている。 比活性がどのように変化していくか計算してみた。
| year | % remained | labelled/unlabelled | 比活性 (Ci mmol−1) | モル濃度 (μM) |
| 0 (2013) | 100.00% | 59.13 : 40.87 | 17.16 | 5.300 |
| 1 (2014) | 94.53% | 55.90 : 40.87 | 16.76 | 5.129 |
| 2 (2015) | 89.36% | 52.84 : 40.87 | 16.36 | 4.966 |
| 3 (2016) | 84.47% | 49.95 : 40.87 | 15.96 | 4.813 |
| 4 (2017) | 79.85% | 47.21 : 40.87 | 15.56 | 4.668 |
| 5 (2018) | 75.48% | 44.63 : 40.87 | 15.15 | 4.532 |
| 6 (2019) | 71.35% | 42.19 : 40.87 | 14.74 | 4.402 |
| 7 (2020) | 67.45% | 39.88 : 40.87 | 14.33 | 4.280 |
| 8 (2021) | 63.76% | 37.70 : 40.87 | 13.92 | 4.164 |
| 9 (2022) | 60.27% | 35.64 : 40.87 | 13.52 | 4.055 |
| 10 (2023) | 56.97% | 33.69 : 40.87 | 13.11 | 3.952 |
| 11 (2024) | 53.85% | 31.84 : 40.87 | 12.71 | 3.854 |
| 12 (2025) | 50.91% | 30.10 : 40.87 | 12.31 | 3.762 |
| 13 (2026) | 48.12% | 28.46 : 40.87 | 11.91 | 3.672 |
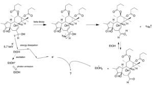
おまけ: 放射性同位体標識化合物が崩壊後にどのようになるか調べてみたがよく分からなかった。陽電子を放出するfluorodeoxyglucose (18F) の場合は自己放射分解 (autoradiolysis) によってglucuronic acid、arabinoic acid、araburonic acid、gluconic acid、arabinoseといった酸化生成物が形成されるらしい1)。[3H]PDBuのβ崩壊後の変化の予想図を下のように書いてみたが、あくまで予想。

1) Búriová, E., Macášek, F., Melichar, F. et al. Autoradiolysis of the 2-deoxy-2-[18F]fluoro-D-glucose radiopharmaceutical. J. Radioanal. Nucl. Chem. 2005, 264, 595–602. https://doi.org/10.1007/s10967-005-0759-9
(了)